マクスウェル方程式

マクスウェル方程式(非分散性媒質)


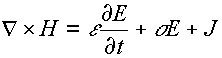
… @
… A
… B
… C


E : 電界 H : 磁界 J : 印加電流
ε : 誘電率 μ : 透磁率 σ : 導電率 ρ : 電荷密度